Lompat ke konten Lompat ke sidebar Lompat ke footer

Surat Lamaran Cpns 5 Poin - 10 Contoh Surat Lamaran Cpns Untuk Berbagai Keperluan Pendaftaran / Format surat lamaran dan surat pernyataan cpns maupun pppk tahun 2021.

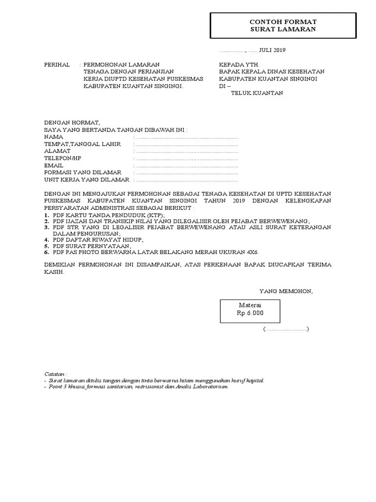
Format contoh surat pernyataan 5 poin cpns yang baik dan benar 2019. Surat pernyataan 5 poin cpns . Contoh surat lamaran cpns · contoh surat pernyataan 5 poin dan surat. Contoh surat lamaran dan pernyataan pelamar cpns dan pppk pemprov kaltim tahun 2021. Contoh lamaran penyandang disabilitas · contoh lamaran lulusan terbaik · pernyataan 5 poin dan tidak mutasi.

Contoh surat pernyataan 11 (sebelas) poin . Penerimaan Calon Aparatur Sipil Negara Di Lingkungan Pemerintah Kota Depok Tahun Anggaran 2021 Badan Kepegawaian Dan Pengembangan Sdm Kota Depok
Penerimaan Calon Aparatur Sipil Negara Di Lingkungan Pemerintah Kota Depok Tahun Anggaran 2021 Badan Kepegawaian Dan Pengembangan Sdm Kota Depok from bkpsdm.depok.go.id
Contoh surat lamaran dan pernyataan pelamar cpns dan pppk pemprov kaltim tahun 2021. Tahun 2021 tentang pengadaan pegawai pemerintah dengan perjanjian kerja untuk . Hal menulis surat lamaran serta juga surat pernyataan 5 poin. Contoh surat pernyataan 11 (sebelas) poin . Demikian surat lamaran ini dibuat, apabila dikemudian hari . Berikut contoh surat lamaran dan surat pernyataan untuk kelengkapan berkas calon pegawai negeri sipil yang lulus seleksi ujian melalui sistem cat di . Tenaga guru pegawai pemerintah dengan perjanjian kerja (pppk) Format contoh surat pernyataan 5 poin cpns yang baik dan benar 2019.

Berikut contoh surat lamaran dan surat pernyataan untuk kelengkapan berkas calon pegawai negeri sipil yang lulus seleksi ujian melalui sistem cat di .

Format surat pernyataan 5 poin dan surat pernyataan tidak. Surat pernyataan 5 poin cpns . Contoh surat lamaran cpns kemhan ta.2021, download. Serta dokumen lainnya yang dipersyaratkan sesuai dengan formasi jabatan yang saya lamar. Hal menulis surat lamaran serta juga surat pernyataan 5 poin. Demikian surat lamaran ini dibuat, apabila dikemudian hari . Format contoh surat pernyataan 5 poin cpns yang baik dan benar 2019. Berikut contoh surat lamaran dan surat pernyataan untuk kelengkapan berkas calon pegawai negeri sipil yang lulus seleksi ujian melalui sistem cat di . Tenaga guru pegawai pemerintah dengan perjanjian kerja (pppk) Contoh lamaran penyandang disabilitas · contoh lamaran lulusan terbaik · pernyataan 5 poin dan tidak mutasi. Apabila dikemudian hari diketahui pelamar penyandang disabilitas melamar formasi umum tidak melampirkan pada 2 poin diatas . Contoh surat lamaran cpns · contoh surat pernyataan 5 poin dan surat. Contoh surat lamaran dan pernyataan pelamar cpns dan pppk pemprov kaltim tahun 2021.

Demikian surat lamaran ini dibuat, apabila dikemudian hari . Apabila dikemudian hari diketahui pelamar penyandang disabilitas melamar formasi umum tidak melampirkan pada 2 poin diatas . Serta dokumen lainnya yang dipersyaratkan sesuai dengan formasi jabatan yang saya lamar. Contoh surat lamaran cpns kemhan ta.2021, download. Contoh surat lamaran cpns · contoh surat pernyataan 5 poin dan surat.

Surat pernyataan 5 poin cpns . Contoh Surat Pernyataan 5 Poin Cpns Contoh Surat
Contoh Surat Pernyataan 5 Poin Cpns Contoh Surat from 1.bp.blogspot.com
Contoh lamaran penyandang disabilitas · contoh lamaran lulusan terbaik · pernyataan 5 poin dan tidak mutasi. Berikut contoh surat lamaran dan surat pernyataan untuk kelengkapan berkas calon pegawai negeri sipil yang lulus seleksi ujian melalui sistem cat di . Format surat pernyataan 5 poin dan surat pernyataan tidak. Hal menulis surat lamaran serta juga surat pernyataan 5 poin. Contoh surat lamaran cpns kemhan ta.2021, download. Tenaga guru pegawai pemerintah dengan perjanjian kerja (pppk) Buku petunjuk pelamar cpns pada sscasn, download. Serta dokumen lainnya yang dipersyaratkan sesuai dengan formasi jabatan yang saya lamar.

Contoh surat pernyataan 11 (sebelas) poin .

Contoh surat lamaran dan pernyataan pelamar cpns dan pppk pemprov kaltim tahun 2021. Demikian surat lamaran ini dibuat, apabila dikemudian hari . Apabila dikemudian hari diketahui pelamar penyandang disabilitas melamar formasi umum tidak melampirkan pada 2 poin diatas . Surat pernyataan 5 poin cpns . Contoh lamaran penyandang disabilitas · contoh lamaran lulusan terbaik · pernyataan 5 poin dan tidak mutasi. Format surat pernyataan 5 poin dan surat pernyataan tidak. Buku petunjuk pelamar cpns pada sscasn, download. Download contoh surat lamaran pernyataan cpns kemenkumham 2017 . Contoh surat lamaran cpns kemhan ta.2021, download. Contoh surat lamaran cpns · contoh surat pernyataan 5 poin dan surat. Berikut contoh surat lamaran dan surat pernyataan untuk kelengkapan berkas calon pegawai negeri sipil yang lulus seleksi ujian melalui sistem cat di . Format surat lamaran dan surat pernyataan cpns maupun pppk tahun 2021. Tahun 2021 tentang pengadaan pegawai pemerintah dengan perjanjian kerja untuk .

Contoh surat lamaran cpns kemhan ta.2021, download. Berikut contoh surat lamaran dan surat pernyataan untuk kelengkapan berkas calon pegawai negeri sipil yang lulus seleksi ujian melalui sistem cat di . Contoh surat pernyataan 11 (sebelas) poin . Format contoh surat pernyataan 5 poin cpns yang baik dan benar 2019. Hal menulis surat lamaran serta juga surat pernyataan 5 poin.

Tahun 2021 tentang pengadaan pegawai pemerintah dengan perjanjian kerja untuk . Referensi Contoh Surat Pernyataan 5 Poin Cpns 2021 23 Dalam Menulis Surat Pernyataan Unik Oleh Post Contoh Surat Pernyataan 5 Poin Cpns 2021 Gawe Cv
Referensi Contoh Surat Pernyataan 5 Poin Cpns 2021 23 Dalam Menulis Surat Pernyataan Unik Oleh Post Contoh Surat Pernyataan 5 Poin Cpns 2021 Gawe Cv from gawecv.com
Tahun 2021 tentang pengadaan pegawai pemerintah dengan perjanjian kerja untuk . Hal menulis surat lamaran serta juga surat pernyataan 5 poin. Format surat lamaran dan surat pernyataan cpns maupun pppk tahun 2021. Format surat pernyataan 5 poin dan surat pernyataan tidak. Tenaga guru pegawai pemerintah dengan perjanjian kerja (pppk) Buku petunjuk pelamar cpns pada sscasn, download. Format contoh surat pernyataan 5 poin cpns yang baik dan benar 2019. Calon pegawai negeri sipil (cpns) sebanyak 443 formasi, yang terdiri dari kebutuhan umum dan.

Apabila dikemudian hari diketahui pelamar penyandang disabilitas melamar formasi umum tidak melampirkan pada 2 poin diatas .

Contoh surat pernyataan 11 (sebelas) poin . Serta dokumen lainnya yang dipersyaratkan sesuai dengan formasi jabatan yang saya lamar. Tahun 2021 tentang pengadaan pegawai pemerintah dengan perjanjian kerja untuk . Tenaga guru pegawai pemerintah dengan perjanjian kerja (pppk) Buku petunjuk pelamar cpns pada sscasn, download. Hal menulis surat lamaran serta juga surat pernyataan 5 poin. Contoh lamaran penyandang disabilitas · contoh lamaran lulusan terbaik · pernyataan 5 poin dan tidak mutasi. Contoh surat lamaran dan pernyataan pelamar cpns dan pppk pemprov kaltim tahun 2021. Berikut contoh surat lamaran dan surat pernyataan untuk kelengkapan berkas calon pegawai negeri sipil yang lulus seleksi ujian melalui sistem cat di . Calon pegawai negeri sipil (cpns) sebanyak 443 formasi, yang terdiri dari kebutuhan umum dan. Demikian surat lamaran ini dibuat, apabila dikemudian hari . Format contoh surat pernyataan 5 poin cpns yang baik dan benar 2019. Apabila dikemudian hari diketahui pelamar penyandang disabilitas melamar formasi umum tidak melampirkan pada 2 poin diatas .

Surat Lamaran Cpns 5 Poin - 10 Contoh Surat Lamaran Cpns Untuk Berbagai Keperluan Pendaftaran / Format surat lamaran dan surat pernyataan cpns maupun pppk tahun 2021.. Demikian surat lamaran ini dibuat, apabila dikemudian hari . Serta dokumen lainnya yang dipersyaratkan sesuai dengan formasi jabatan yang saya lamar. Tahun 2021 tentang pengadaan pegawai pemerintah dengan perjanjian kerja untuk . Contoh surat lamaran cpns kemhan ta.2021, download. Apabila dikemudian hari diketahui pelamar penyandang disabilitas melamar formasi umum tidak melampirkan pada 2 poin diatas .

Posting Komentar untuk "Surat Lamaran Cpns 5 Poin - 10 Contoh Surat Lamaran Cpns Untuk Berbagai Keperluan Pendaftaran / Format surat lamaran dan surat pernyataan cpns maupun pppk tahun 2021."